Официальное опубликование правовых актов
ОФИЦИАЛЬНОЕ ОПУБЛИКОВАНИЕ
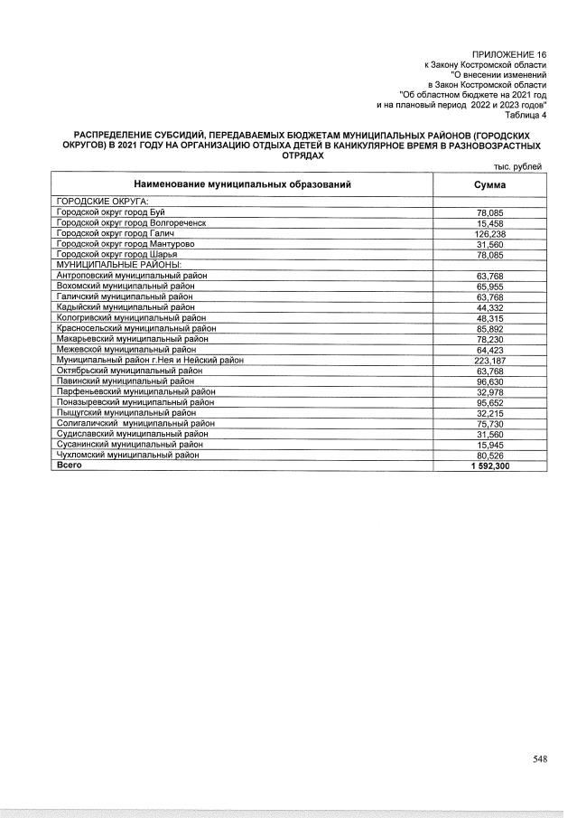
Закон Костромской области от 29.11.2021 № 150-7-ЗКО
"О внесении изменений в Закон Костромской области "Об областном бюджете на 2021 год и на плановый период 2022 и 2023 годов"
Номер опубликования: 4400202111290006
Дата опубликования: 29.11.2021
Страница №548 из 602:
Увеличить