Официальное опубликование правовых актов
ОФИЦИАЛЬНОЕ ОПУБЛИКОВАНИЕ
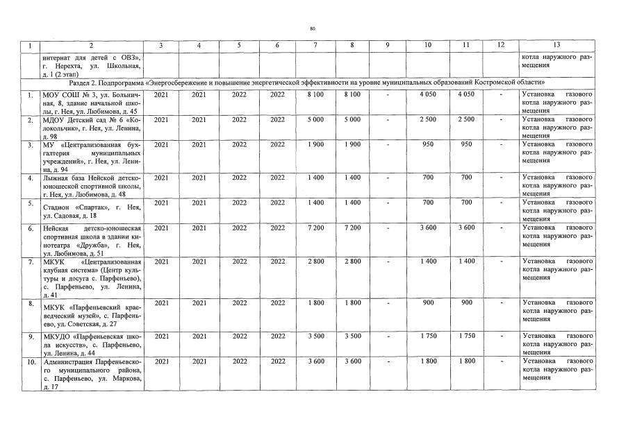
Постановление администрации Костромской области от 15.11.2021 № 503-а
"Об утверждении государственной программы Костромской области "Энергосбережение и повышение энергетической эффективности Костромской области"
Номер опубликования: 4400202111160004
Дата опубликования: 16.11.2021
Страница №81 из 86:
Увеличить