Официальное опубликование правовых актов
ОФИЦИАЛЬНОЕ ОПУБЛИКОВАНИЕ
Постановление администрации Костромской области от 06.09.2021 № 401-а
"О внесении изменений в постановление администрации Костромской области от 25.02.2014 № 61-а"
Номер опубликования: 4400202109070009
Дата опубликования: 07.09.2021
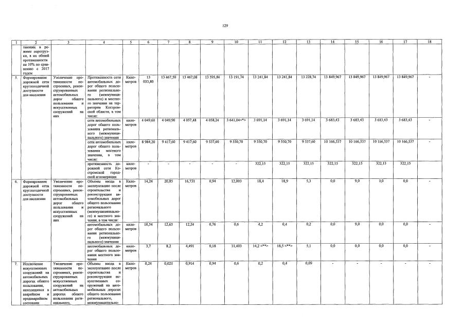
Страница №135 из 152:
Увеличить