Официальное опубликование правовых актов
ОФИЦИАЛЬНОЕ ОПУБЛИКОВАНИЕ
Постановление администрации Костромской области от 02.08.2021 № 333-а
"О внесении изменений в постановление администрации Костромской области от 28.04.2014 № 175-а"
Номер опубликования: 4400202108030005
Дата опубликования: 03.08.2021
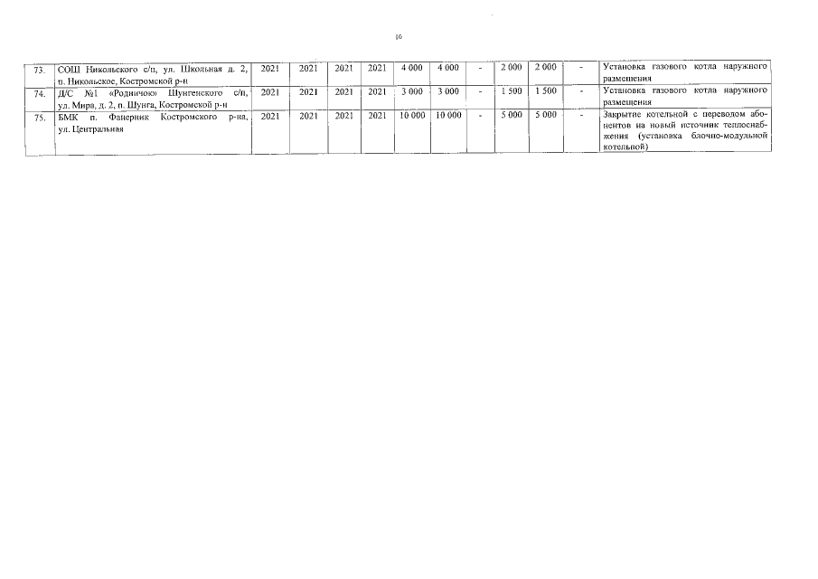
Страница №19 из 21:
Увеличить