Официальное опубликование правовых актов
ОФИЦИАЛЬНОЕ ОПУБЛИКОВАНИЕ
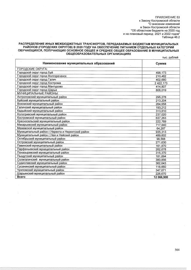
Закон Костромской области от 27.10.2020 № 3-7-ЗКО
"О внесении изменений в Закон Костромской области "Об областном бюджете на 2020 год и на плановый период 2021 и 2022 годов"
Номер опубликования: 4400202010270014
Дата опубликования: 27.10.2020
Страница №564 из 567:
Увеличить