Официальное опубликование правовых актов
ОФИЦИАЛЬНОЕ ОПУБЛИКОВАНИЕ
Постановление администрации Костромской области от 13.04.2020 № 130-а
"О внесении изменений в постановление администрации Костромской области от 28.04.2014 № 174-а"
Номер опубликования: 4400202004140002
Дата опубликования: 14.04.2020
Страница №28 из 76:
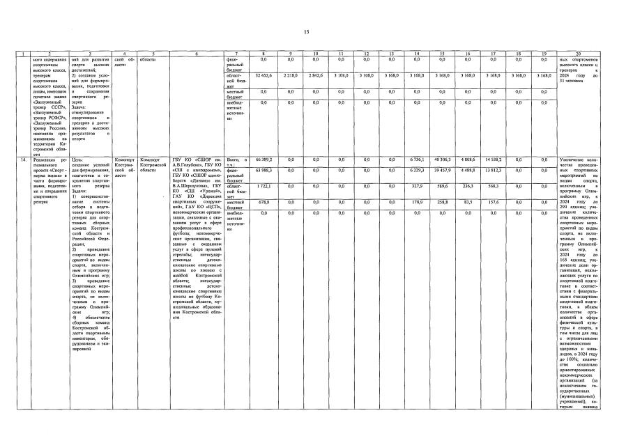
Увеличить