Официальное опубликование правовых актов
ОФИЦИАЛЬНОЕ ОПУБЛИКОВАНИЕ
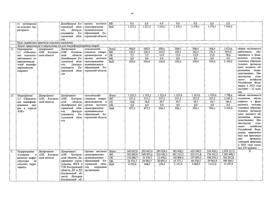
Постановление администрации Костромской области от 23.12.2019 № 513-а
"Об утверждении государственной программы Костромской области "Комплексное развитие сельских территорий Костромской области"
Номер опубликования: 4400201912240021
Дата опубликования: 24.12.2019
Страница №67 из 85:
Увеличить