Официальное опубликование правовых актов
ОФИЦИАЛЬНОЕ ОПУБЛИКОВАНИЕ
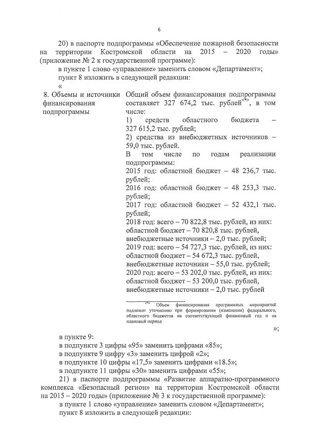
Постановление администрации Костромской области от 23.12.2019 № 515-а
"О внесении изменений в постановление администрации Костромской области от 24.06.2014 № 262-а"
Номер опубликования: 4400201912240017
Дата опубликования: 24.12.2019
Страница №6 из 66:
Увеличить