Официальное опубликование правовых актов
ОФИЦИАЛЬНОЕ ОПУБЛИКОВАНИЕ
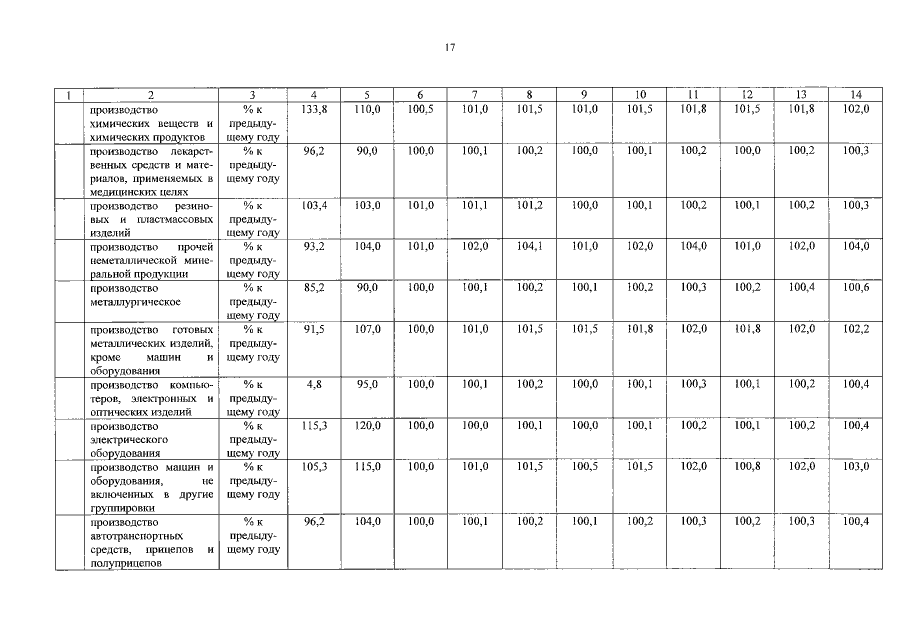
Постановление администрации Костромской области от 14.10.2019 № 413-а
"О прогнозе социально-экономического развития Костромской области на 2020 год и на плановый период 2021 и 2022 годов"
Номер опубликования: 4400201910150009
Дата опубликования: 15.10.2019
Страница №18 из 51:
Увеличить