Официальное опубликование правовых актов
ОФИЦИАЛЬНОЕ ОПУБЛИКОВАНИЕ
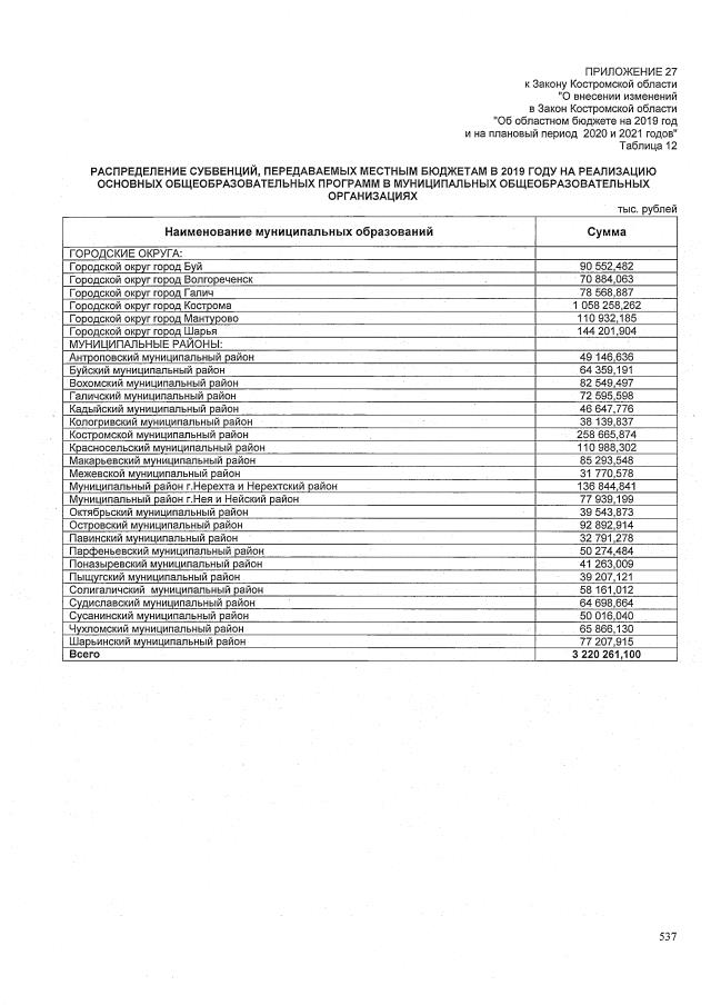
Закон Костромской области от 16.09.2019 № 586-6-ЗКО
"О внесении изменений в Закон Костромской области "Об областном бюджете на 2019 год и на плановый период 2020 и 2021 годов"
Номер опубликования: 4400201909170001
Дата опубликования: 17.09.2019
Страница №538 из 560:
Увеличить