Официальное опубликование правовых актов
ОФИЦИАЛЬНОЕ ОПУБЛИКОВАНИЕ
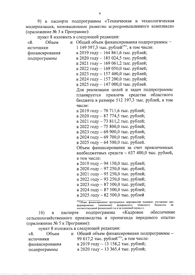
Постановление администрации Костромской области от 19.08.2019 № 314-а
"О внесении изменений в постановление администрации Костромской области от 27.08.2018 № 354-а"
Номер опубликования: 4400201908200020
Дата опубликования: 20.08.2019
Страница №6 из 39:
Увеличить