Официальное опубликование правовых актов
ОФИЦИАЛЬНОЕ ОПУБЛИКОВАНИЕ
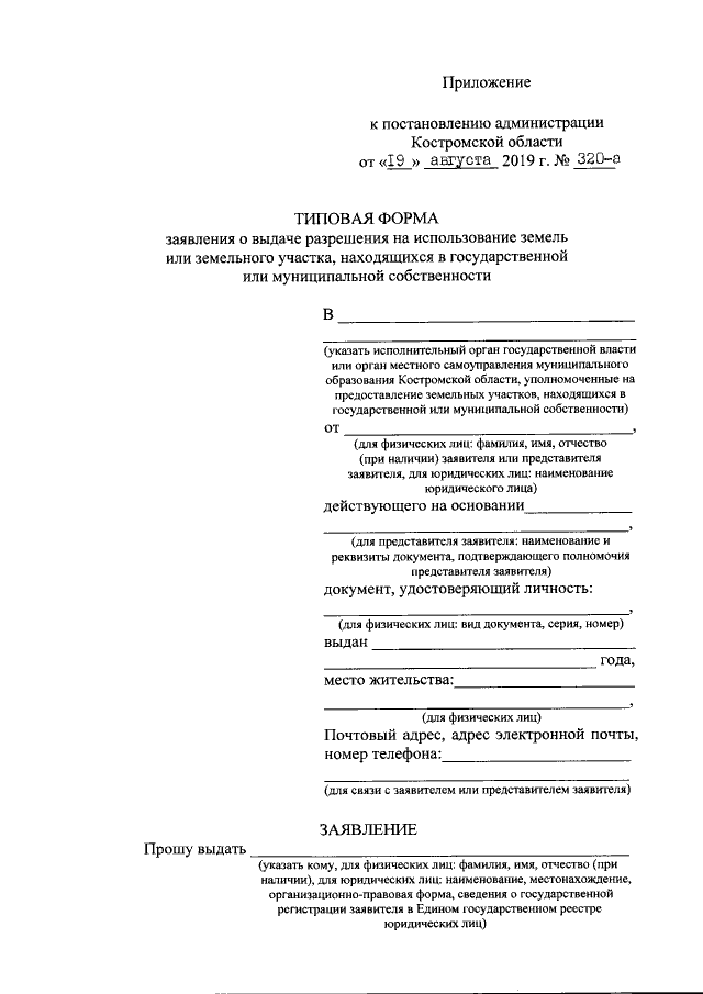
Постановление администрации Костромской области от 19.08.2019 № 320-а
"О внесении изменения в постановление администрации Костромской области от 06.10.2015 № 356-а"
Номер опубликования: 4400201908200006
Дата опубликования: 20.08.2019
Страница №2 из 4:
Увеличить