Официальное опубликование правовых актов
ОФИЦИАЛЬНОЕ ОПУБЛИКОВАНИЕ
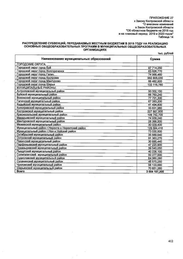
Закон Костромской области от 26.11.2018 № 474-6-ЗКО
"О внесении изменений в Закон Костромской области "Об областном бюджете на 2018 год и на плановый период 2019 и 2020 годов"
Номер опубликования: 4400201811260005
Дата опубликования: 26.11.2018
Страница №413 из 426:
Увеличить