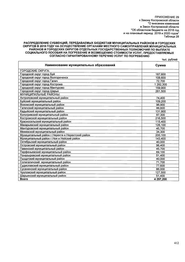
Закон Костромской области от 20.09.2018 № 430-6-ЗКО
"О внесении изменений в Закон Костромской области "Об областном бюджете на 2018 год и на плановый период 2019 и 2020 годов"
"О внесении изменений в Закон Костромской области "Об областном бюджете на 2018 год и на плановый период 2019 и 2020 годов"
Номер опубликования: 4400201809200001
Дата опубликования:
20.09.2018
