Официальное опубликование правовых актов
ОФИЦИАЛЬНОЕ ОПУБЛИКОВАНИЕ
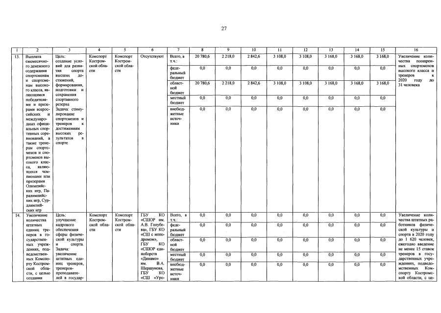
Постановление администрации Костромской области от 23.04.2018 № 155-а
"О внесении изменений в постановление администрации Костромской области от 28.04.2014 № 174-а"
Номер опубликования: 4400201804240005
Дата опубликования: 24.04.2018
Страница №35 из 57:
Увеличить