Официальное опубликование правовых актов
ОФИЦИАЛЬНОЕ ОПУБЛИКОВАНИЕ
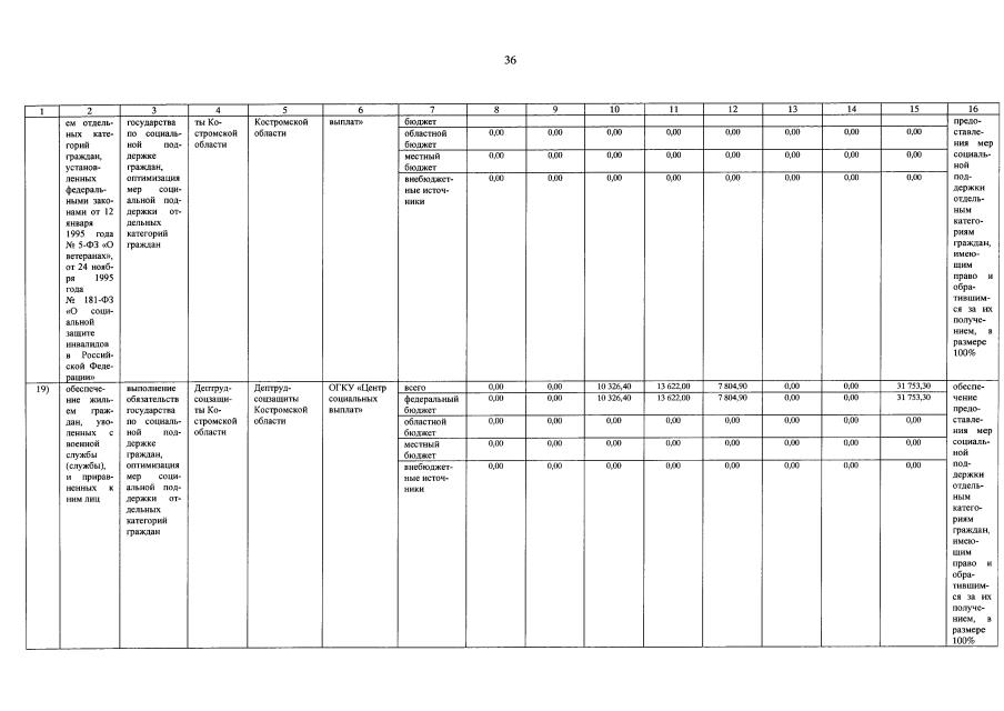
Постановление администрации Костромской области от 30.03.2018 № 99-а
"О внесении изменений в постановление администрации Костромской области от 26.12.2013 № 569-а"
Номер опубликования: 4400201804020013
Дата опубликования: 02.04.2018
Страница №47 из 186:
Увеличить