Официальное опубликование правовых актов
ОФИЦИАЛЬНОЕ ОПУБЛИКОВАНИЕ
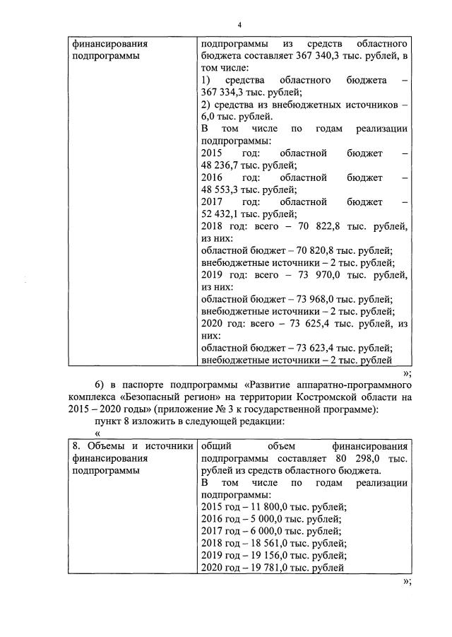
Постановление администрации Костромской области от 18.12.2017 № 480-а
"О внесении изменений в постановление администрации Костромской области от 24.06.2014 № 262-а"
Номер опубликования: 4400201712190012
Дата опубликования: 19.12.2017
Страница №4 из 16:
Увеличить