Официальное опубликование правовых актов
ОФИЦИАЛЬНОЕ ОПУБЛИКОВАНИЕ
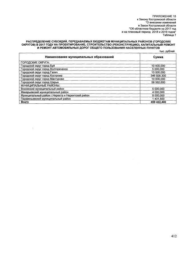
Закон Костромской области от 24.10.2017 № 287-6-ЗКО
"О внесении изменений в Закон Костромской области "Об областном бюджете на 2017 год и на плановый период 2018 и 2019 годов"
Номер опубликования: 4400201710260001
Дата опубликования: 26.10.2017
Страница №413 из 427:
Увеличить