Официальное опубликование правовых актов
ОФИЦИАЛЬНОЕ ОПУБЛИКОВАНИЕ
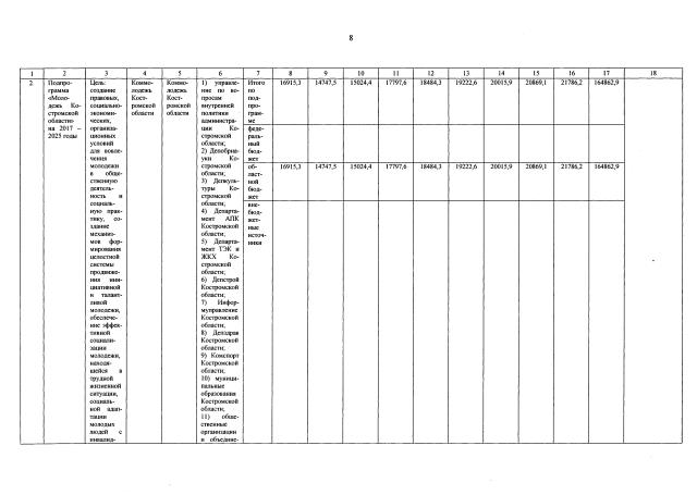
Постановление администрации Костромской области от 03.10.2017 № 366-а
"О внесении изменений в постановление администрации Костромской области от 27.07.2016 № 267-а"
Номер опубликования: 4400201710040003
Дата опубликования: 04.10.2017
Страница №14 из 47:
Увеличить