Официальное опубликование правовых актов
ОФИЦИАЛЬНОЕ ОПУБЛИКОВАНИЕ
Постановление администрации Костромской области от 25.09.2017 № 356-а
"О внесении изменений в постановление администрации Костромской области от 18.08.2015 № 301-а"
Номер опубликования: 4400201709250005
Дата опубликования: 25.09.2017
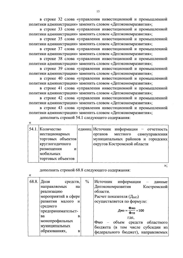
Страница №13 из 83:
Увеличить