Официальное опубликование правовых актов
ОФИЦИАЛЬНОЕ ОПУБЛИКОВАНИЕ
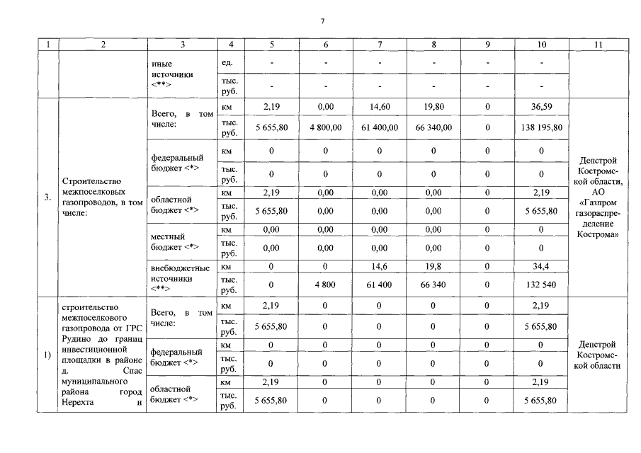
Постановление губернатора Костромской области от 31.08.2017 № 190
"Об утверждении программы газификации жилищно-коммунального хозяйства, промышленных и иных организаций Костромской области на 2017-2021 годы"
Номер опубликования: 4400201709010001
Дата опубликования: 01.09.2017
Страница №8 из 46:
Увеличить