Официальное опубликование правовых актов
ОФИЦИАЛЬНОЕ ОПУБЛИКОВАНИЕ
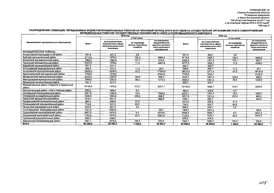
Закон Костромской области от 08.07.2017 № 262-6-ЗКО
"О внесении изменений в Закон Костромской области "Об областном бюджете на 2017 год и на плановый период 2018 и 2019 годов"
Номер опубликования: 4400201707100001
Дата опубликования: 10.07.2017
Страница №406 из 422:
Увеличить