Официальное опубликование правовых актов
ОФИЦИАЛЬНОЕ ОПУБЛИКОВАНИЕ
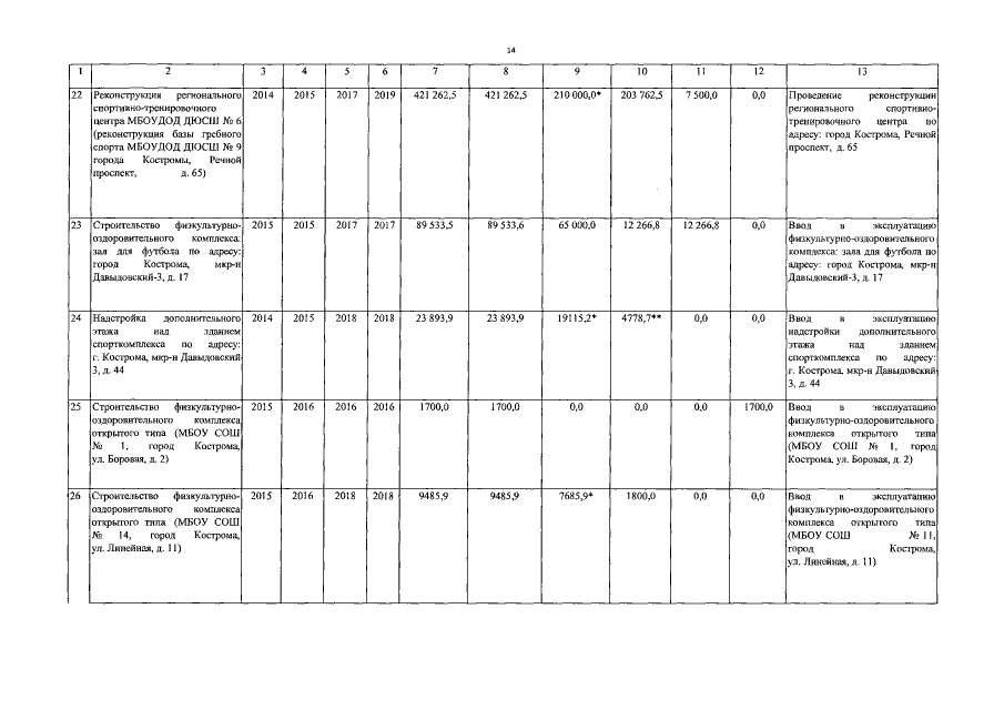
Постановление администрации Костромской области от 24.04.2017 № 174-а
"О внесении изменений в постановление администрации Костромской области от 28.04.2014 № 174-а"
Номер опубликования: 4400201704270009
Дата опубликования: 27.04.2017
Страница №22 из 28:
Увеличить