Официальное опубликование правовых актов
ОФИЦИАЛЬНОЕ ОПУБЛИКОВАНИЕ
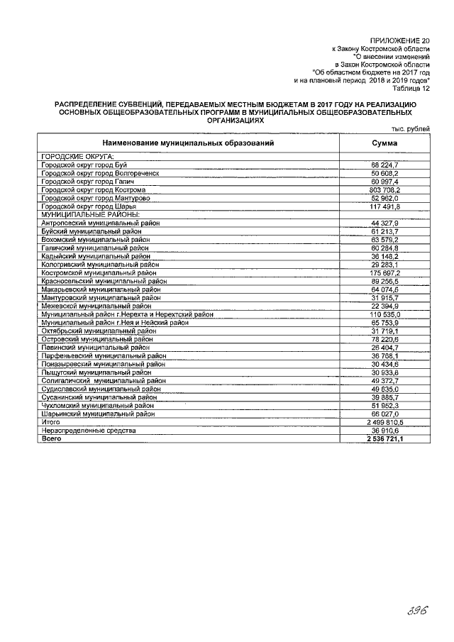
Закон Костромской области от 24.04.2017 № 231-6-ЗКО
"О внесении изменений в Закон Костромской области "Об областном бюджете на 2017 год и на плановый период 2018 и 2019 годов"
Номер опубликования: 4400201704240006
Дата опубликования: 24.04.2017
Страница №397 из 420:
Увеличить