Официальное опубликование правовых актов
ОФИЦИАЛЬНОЕ ОПУБЛИКОВАНИЕ
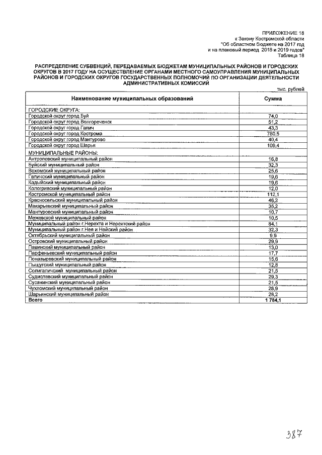
Закон Костромской области от 20.12.2016 № 176-6-ЗКО
"Об областном бюджете на 2017 год и на плановый период 2018 и 2019 годов"
Номер опубликования: 4400201612220011
Дата опубликования: 22.12.2016
Страница №759 из 796:
Увеличить