Официальное опубликование правовых актов
ОФИЦИАЛЬНОЕ ОПУБЛИКОВАНИЕ
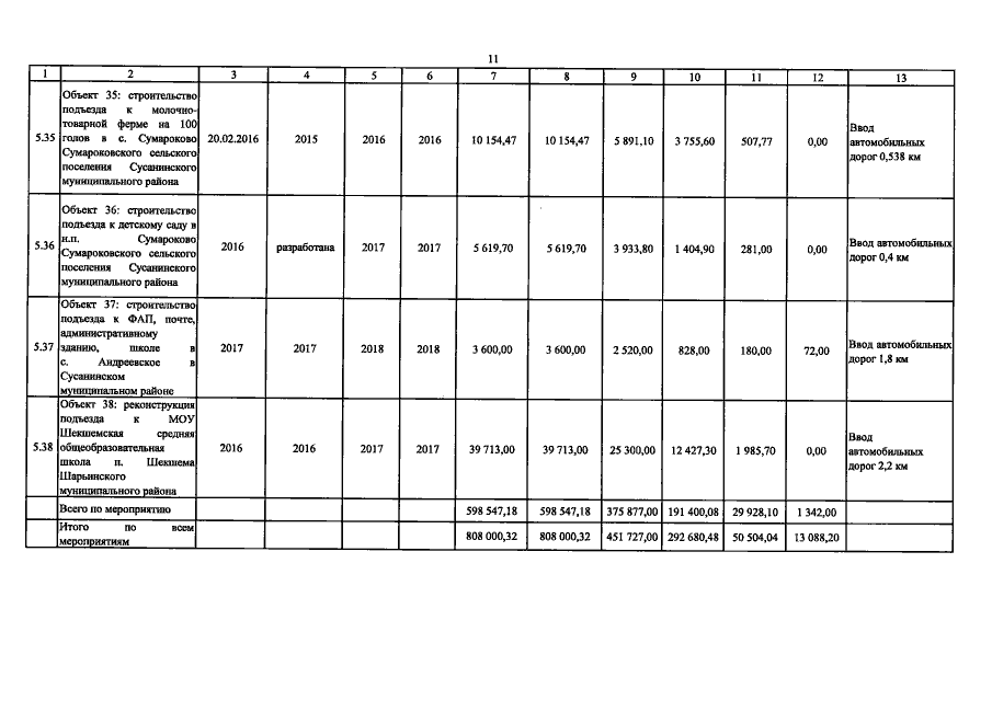
Постановление администрации Костромской области от 16.12.2016 № 478-а
"О внесении изменений в постановление администрации Костромской области от 12.11.2013 № 477-а"
Номер опубликования: 4400201612190001
Дата опубликования: 19.12.2016
Страница №15 из 35:
Увеличить