Официальное опубликование правовых актов
ОФИЦИАЛЬНОЕ ОПУБЛИКОВАНИЕ
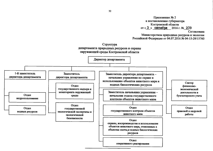
Постановление губернатора Костромской области от 03.10.2016 № 209
"О внесении изменений в постановление губернатора Костромской области от 29.10.2009 № 247"
Номер опубликования: 4400201610050002
Дата опубликования: 05.10.2016
Страница №34 из 34:
Увеличить