Официальное опубликование правовых актов
ОФИЦИАЛЬНОЕ ОПУБЛИКОВАНИЕ
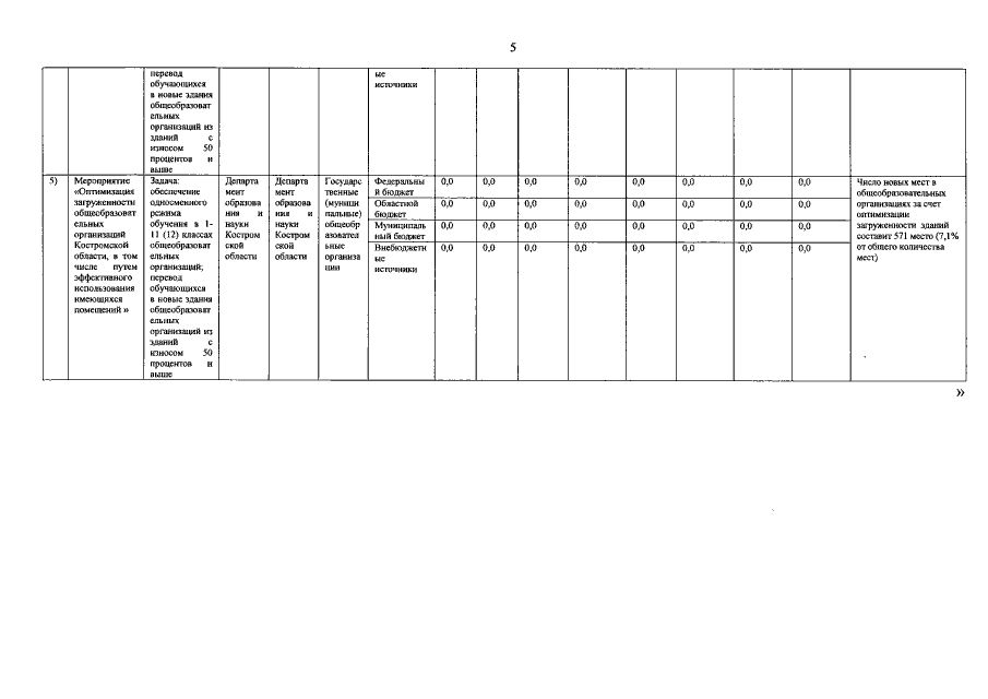
Постановление администрации Костромской области от 26.01.2016 № 25-а
"О внесении изменений в постановление администрации Костромской области от 26.12.2013 № 584-а"
Номер опубликования: 4400201601270008
Дата опубликования: 27.01.2016
Страница №12 из 22:
Увеличить