Официальное опубликование правовых актов
ОФИЦИАЛЬНОЕ ОПУБЛИКОВАНИЕ
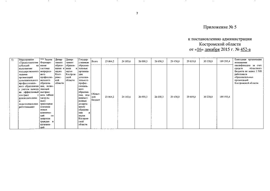
Постановление администрации Костромской области от 16.12.2015 № 452-а
"О внесении изменений в постановление администрации Костромской области от 26.12.2013 № 584-а"
Номер опубликования: 4400201512170003
Дата опубликования: 17.12.2015
Страница №14 из 26:
Увеличить