Официальное опубликование правовых актов
ОФИЦИАЛЬНОЕ ОПУБЛИКОВАНИЕ
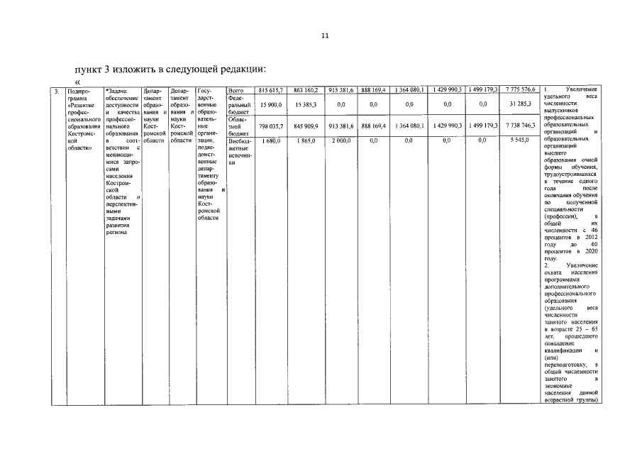
Постановление администрации Костромской области от 28.09.2015 № 341-а
"О внесении изменений в постановление администрации Костромской области от 26.12.2013 № 584-а"
Номер опубликования: 4400201509290001
Дата опубликования: 29.09.2015
Страница №11 из 38:
Увеличить