Официальное опубликование правовых актов
ОФИЦИАЛЬНОЕ ОПУБЛИКОВАНИЕ
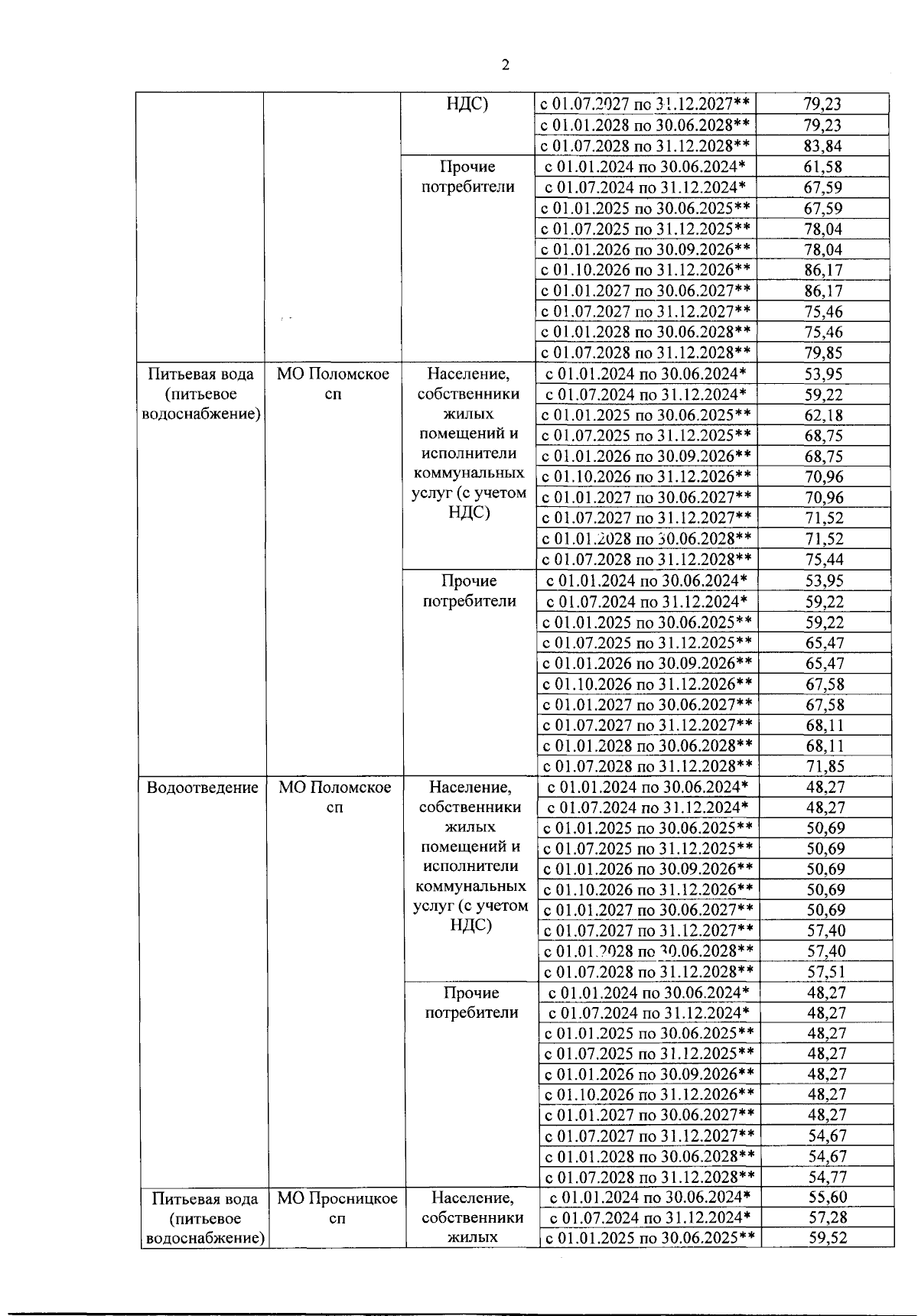
Решение правления региональной службы по тарифам Кировской области от 03.12.2025 № 41/66-кс-2026
"О внесении изменений в решение правления РСТ Кировской области от 31.10.2023 № 38/29-кс-2024"
(Зарегистрирован 12.12.2025 № 2821)
Номер опубликования: 4301202512170013
Дата опубликования: 17.12.2025
Страница №5 из 24:
Увеличить