Официальное опубликование правовых актов
ОФИЦИАЛЬНОЕ ОПУБЛИКОВАНИЕ
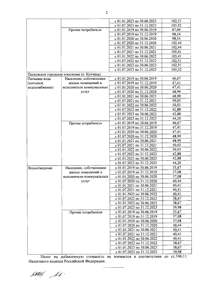
Решение правления региональной службы по тарифам Кировской области от 29.06.2021 № 21/9-кс-2021
"О тарифах на питьевую воду (питьевое водоснабжение) для муниципального унитарного предприятия жилищно-коммунального хозяйства Омутнинского района"
Номер опубликования: 4301202106300008
Дата опубликования: 30.06.2021
Страница №8 из 8:
Увеличить