Официальное опубликование правовых актов
ОФИЦИАЛЬНОЕ ОПУБЛИКОВАНИЕ
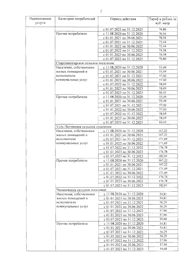
Решение правления региональной службы по тарифам Кировской области от 11.08.2020 № 23/3-кс-2020
"О тарифах на питьевую воду (питьевое водоснабжение) и водоотведение для муниципального казенного предприятия "Коммунальные системы" Вятскополянского района Кировской области"
Номер опубликования: 4301202008130005
Дата опубликования: 13.08.2020
Страница №6 из 8:
Увеличить