Официальное опубликование правовых актов
ОФИЦИАЛЬНОЕ ОПУБЛИКОВАНИЕ
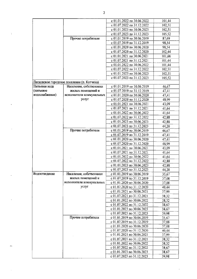
Решение правления региональной службы по тарифам Кировской области от 12.11.2019 № 40/24-кс-2020
"О внесении изменений в решение правления РСТ Кировской области от 20.11.2018 № 41/42-кс-2019"
Номер опубликования: 4301201911190054
Дата опубликования: 19.11.2019
Страница №4 из 5:
Увеличить