Официальное опубликование правовых актов
ОФИЦИАЛЬНОЕ ОПУБЛИКОВАНИЕ
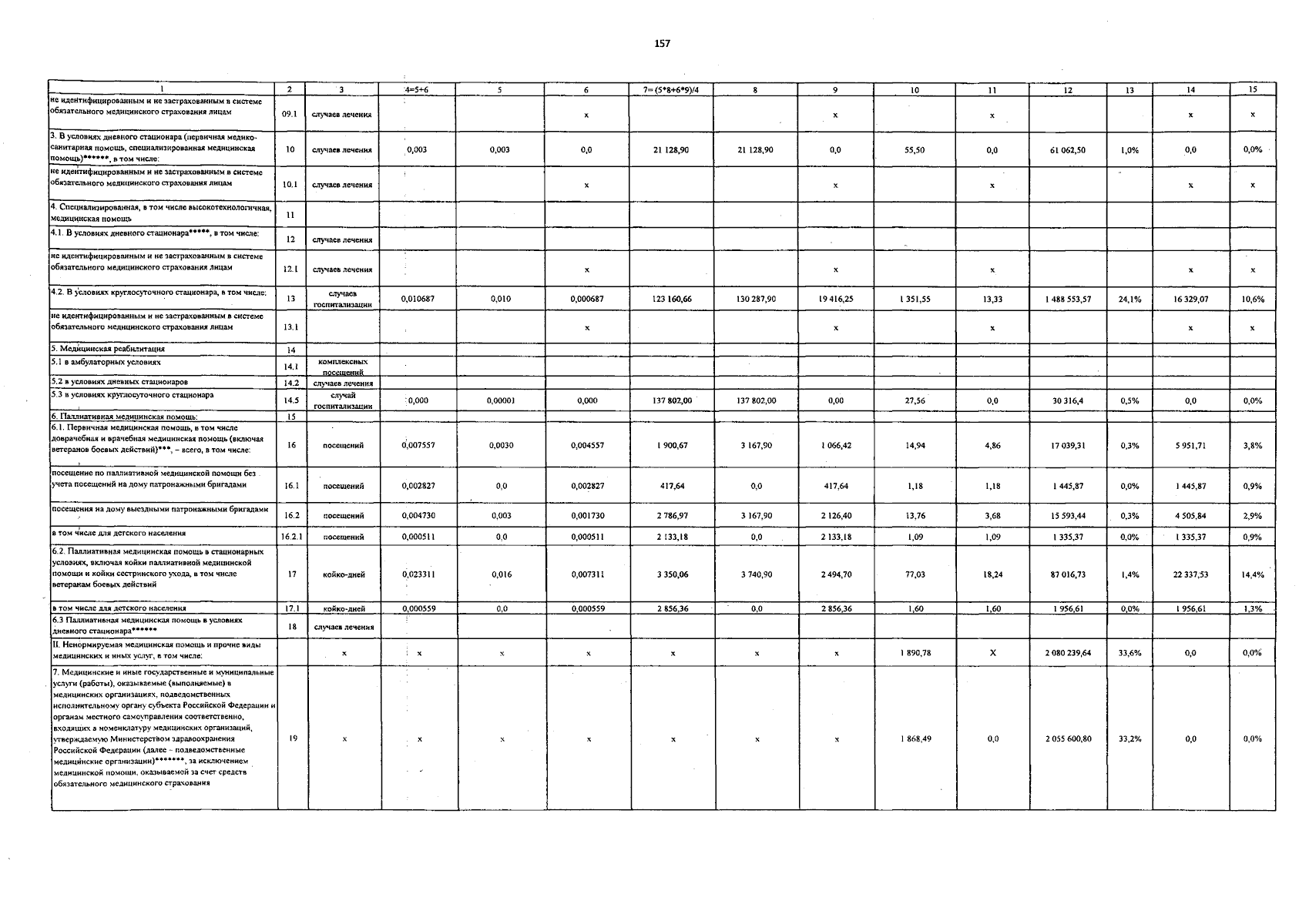
Постановление Правительства Кировской области от 30.12.2025 № 730-П
"Об утверждении Территориальной программы государственных гарантий бесплатного оказания гражданам медицинской помощи на территории Кировской области на 2026 год и на плановый период 2027 и 2028 годов и о признании утратившими силу некоторых постановлений Правительства Кировской области"
Номер опубликования: 4300202512300049
Дата опубликования: 30.12.2025
Страница №160 из 355:
Увеличить