Официальное опубликование правовых актов
ОФИЦИАЛЬНОЕ ОПУБЛИКОВАНИЕ
Постановление Правительства Кировской области от 23.12.2025 № 684-П
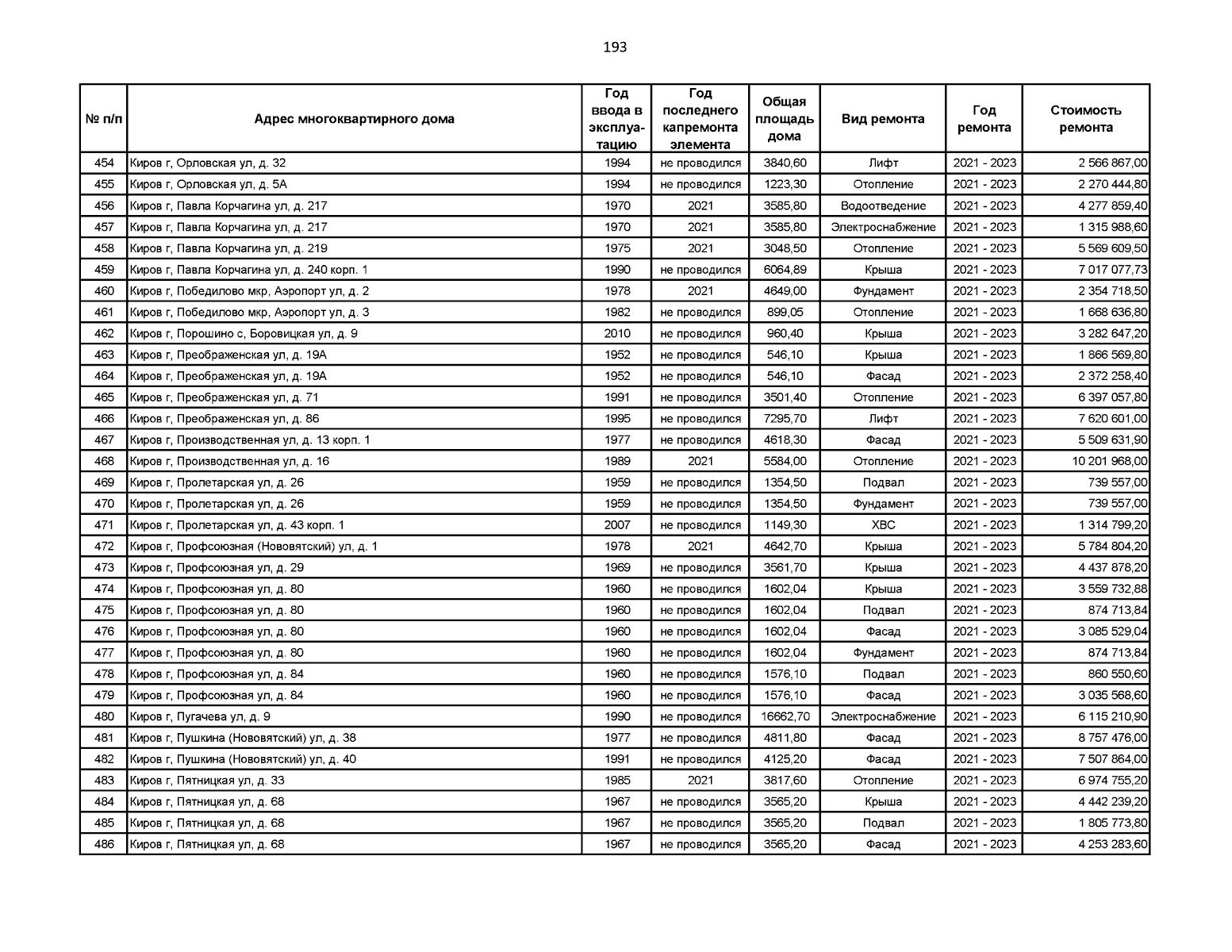
"О внесении изменения в постановление Правительства Кировской области от 21.03.2014 № 254/210 "Об областной программе "Капитальный ремонт общего имущества многоквартирных домов в Кировской области"
Номер опубликования: 4300202512300033
Дата опубликования: 30.12.2025
Страница №194 из 2337:
Увеличить