Официальное опубликование правовых актов
ОФИЦИАЛЬНОЕ ОПУБЛИКОВАНИЕ
Указ Губернатора Кировской области от 26.12.2025 № 233
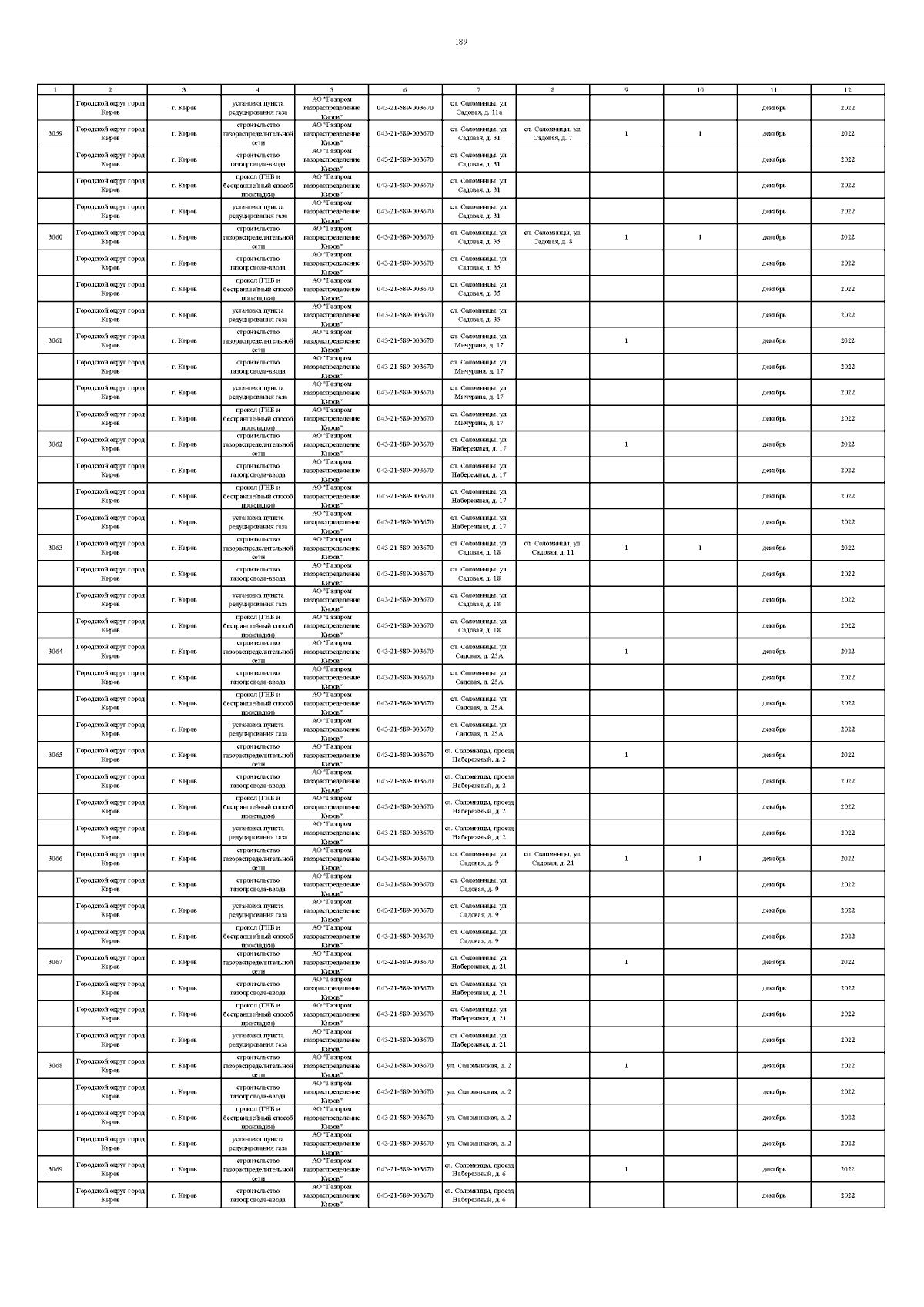
"О внесении изменений в Указ Губернатора Кировской области от 21.01.2022 № 8 "Об утверждении программы газификации жилищно-коммунального хозяйства, промышленных и иных организаций Кировской области на 2022 – 2031 годы"
Номер опубликования: 4300202512300014
Дата опубликования: 30.12.2025
Страница №190 из 1652:
Увеличить