Официальное опубликование правовых актов
ОФИЦИАЛЬНОЕ ОПУБЛИКОВАНИЕ
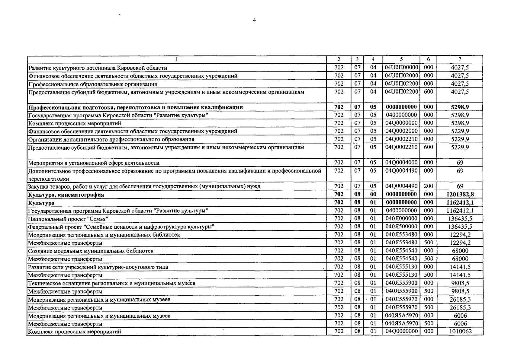
Закон Кировской области от 18.12.2025 № 448-ЗО
"О внесении изменений в Закон Кировской области "Об областном бюджете на 2025 год и на плановый период 2026 и 2027 годов"
Номер опубликования: 4300202512230023
Дата опубликования: 23.12.2025
Страница №203 из 586:
Увеличить