Официальное опубликование правовых актов
ОФИЦИАЛЬНОЕ ОПУБЛИКОВАНИЕ
Указ Губернатора Кировской области от 12.12.2025 № 216
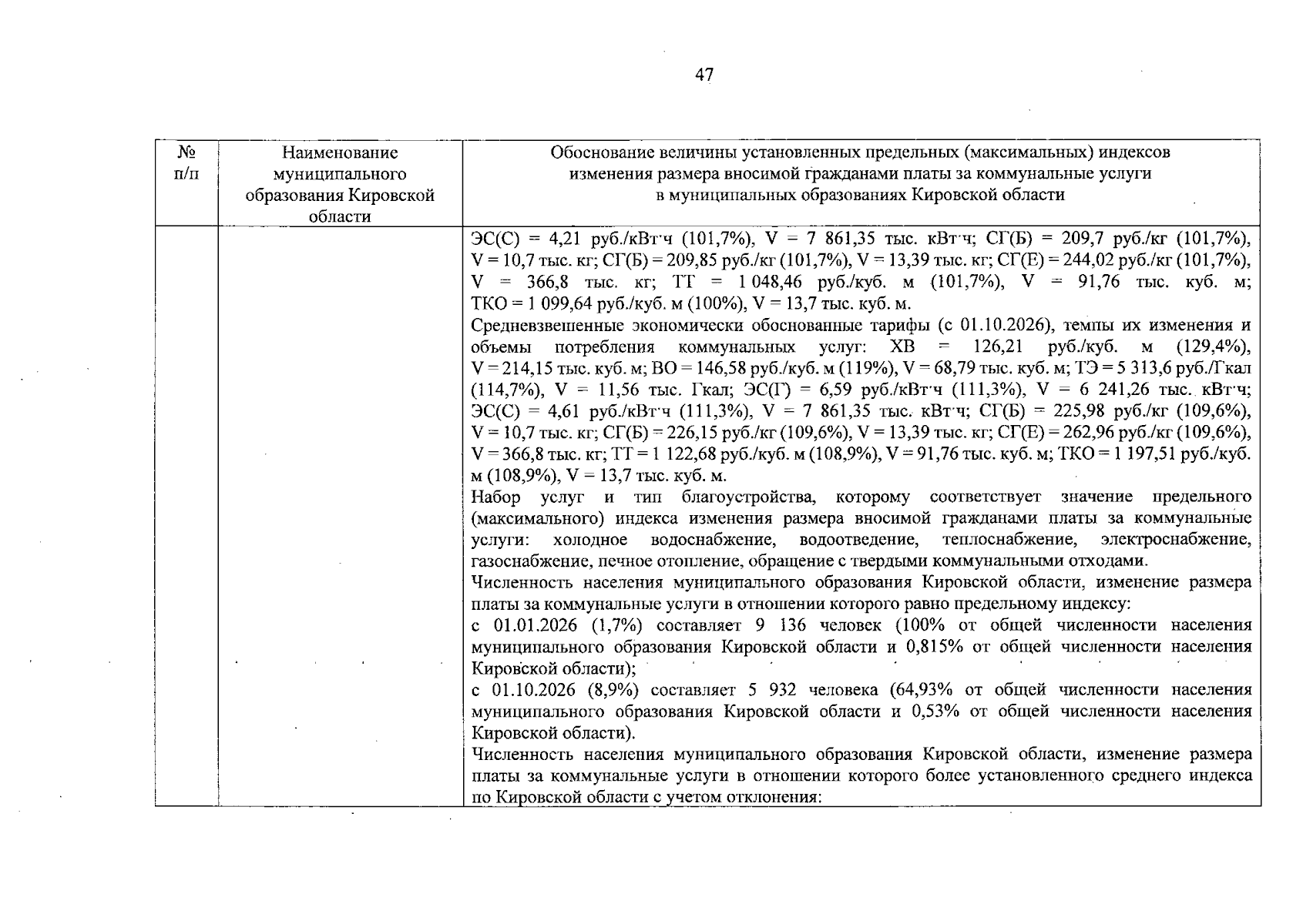
"О внесении изменений в Указ Губернатора Кировской области от 13.12.2023 № 167 "Об утверждении предельных (максимальных) индексов изменения размера вносимой гражданами платы за коммунальные услуги в муниципальных образованиях Кировской области на период с 1 января 2024 года по 31 декабря 2028 года"
Номер опубликования: 4300202512170001
Дата опубликования: 17.12.2025
Страница №129 из 172:
Увеличить