Официальное опубликование правовых актов
ОФИЦИАЛЬНОЕ ОПУБЛИКОВАНИЕ
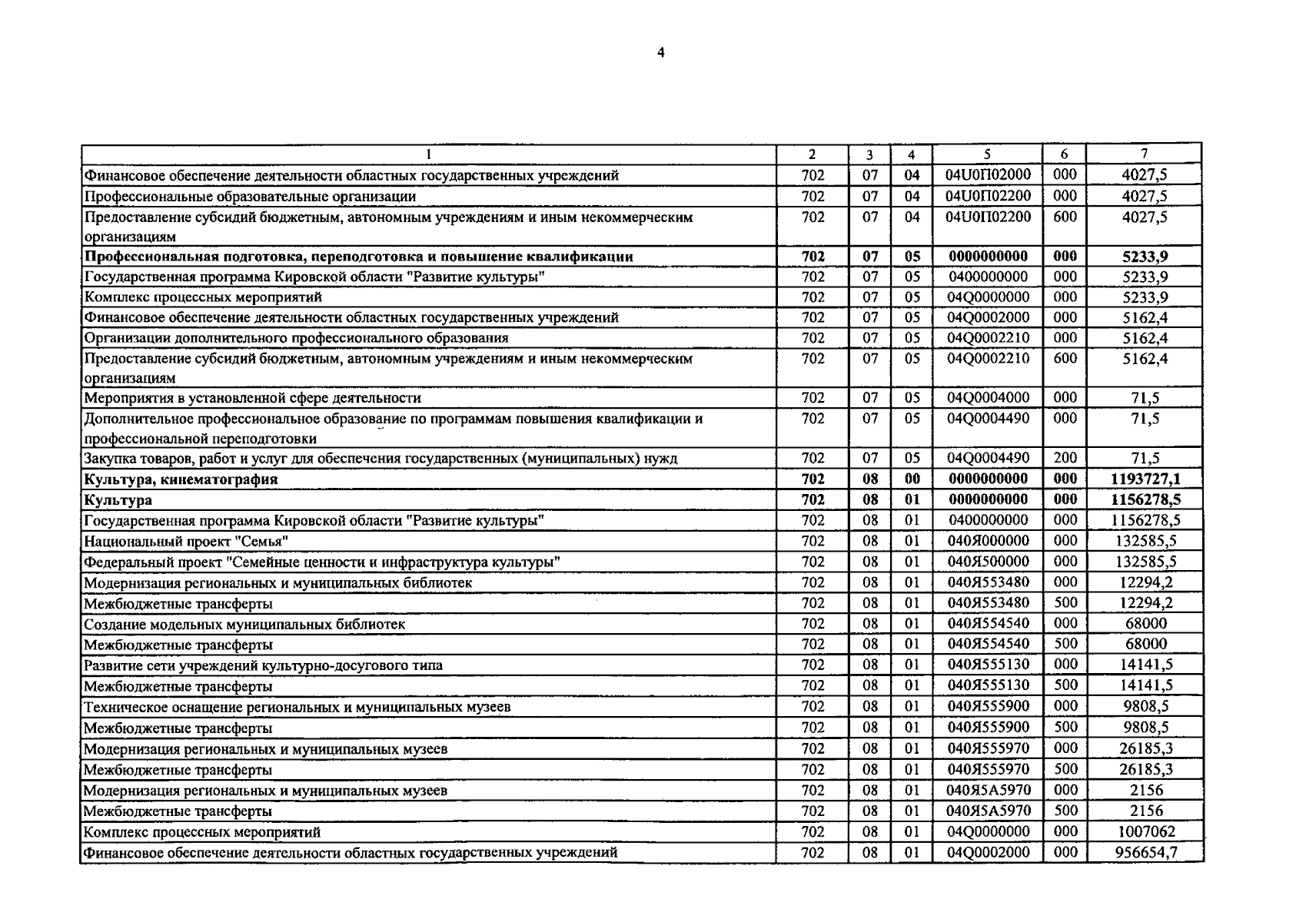
Закон Кировской области от 25.07.2025 № 412-ЗО
"О внесении изменений в Закон Кировской области "Об областном бюджете на 2025 год и на плановый период 2026 и 2027 годов"
Номер опубликования: 4300202507290010
Дата опубликования: 29.07.2025
Страница №177 из 521:
Увеличить