Официальное опубликование правовых актов
ОФИЦИАЛЬНОЕ ОПУБЛИКОВАНИЕ
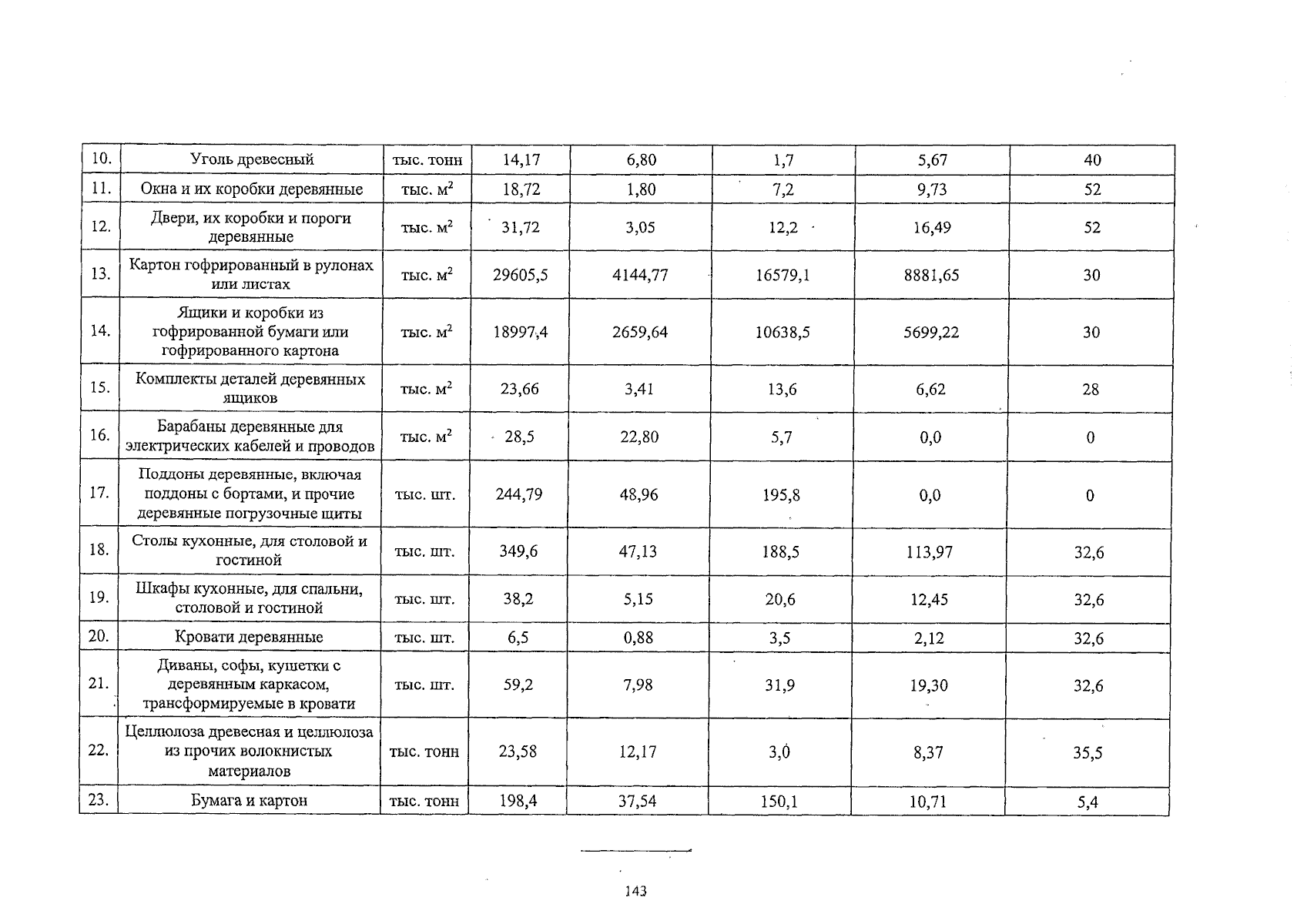
Указ Губернатора Кировской области от 12.06.2025 № 82
"О внесении изменения в Указ Губернатора Кировской области от 29.12.2018 № 165 "Об утверждении Лесного плана Кировской области на 2019 – 2028 годы"
Номер опубликования: 4300202506180001
Дата опубликования: 18.06.2025
Страница №244 из 305:
Увеличить