Официальное опубликование правовых актов
ОФИЦИАЛЬНОЕ ОПУБЛИКОВАНИЕ
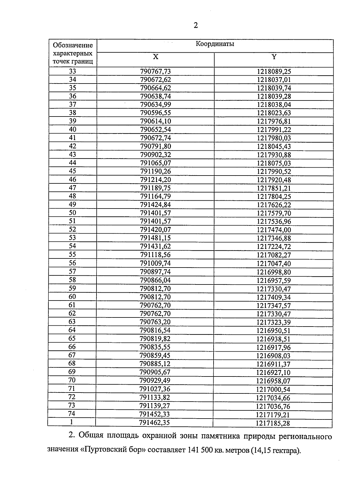
Указ Губернатора Кировской области от 28.12.2024 № 200
"Об охранной зоне памятника природы регионального значения "Пуртовский бор"
Номер опубликования: 4300202412290028
Дата опубликования: 29.12.2024
Страница №4 из 11:
Увеличить