Официальное опубликование правовых актов
ОФИЦИАЛЬНОЕ ОПУБЛИКОВАНИЕ
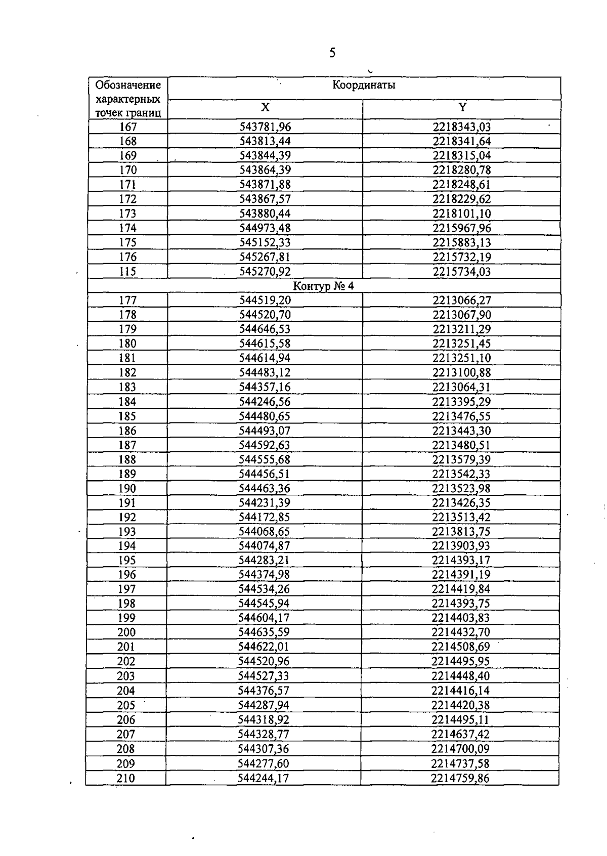
Указ Губернатора Кировской области от 28.12.2024 № 212
"Об охранной зоне памятника природы регионального значения "Пойма р. Быстрица"
Номер опубликования: 4300202412290005
Дата опубликования: 29.12.2024
Страница №7 из 18:
Увеличить