Официальное опубликование правовых актов
ОФИЦИАЛЬНОЕ ОПУБЛИКОВАНИЕ
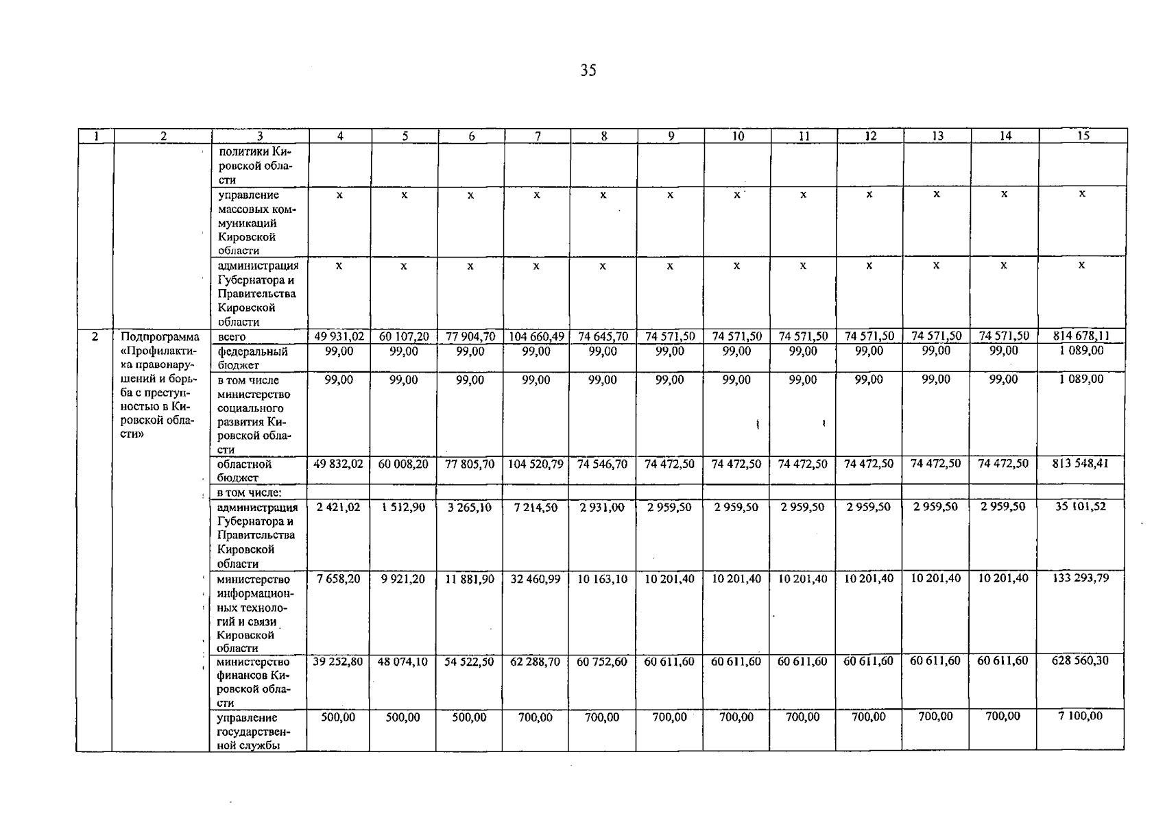
Постановление Правительства Кировской области от 28.11.2023 № 618-П
"О внесении изменений в постановление Правительства Кировской области от 19.12.2019 № 684-П "Об утверждении государственной программы Кировской области "Обеспечение безопасности и жизнедеятельности населения"
Номер опубликования: 4300202311300001
Дата опубликования: 30.11.2023
Страница №36 из 52:
Увеличить