Официальное опубликование правовых актов
ОФИЦИАЛЬНОЕ ОПУБЛИКОВАНИЕ
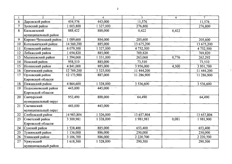
Закон Кировской области от 21.06.2021 № 490-ЗО
"О внесении изменений в Закон Кировской области "Об областном бюджете на 2021 год и на плановый период 2022 и 2023 годов"
Номер опубликования: 4300202106230002
Дата опубликования: 23.06.2021
Страница №358 из 413:
Увеличить