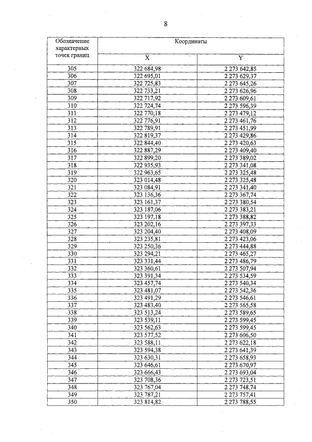
Постановление Правительства Кировской области от 06.11.2020 № 581-П
"О границах территорий памятников природы регионального значения в Вятскополянском районе"
"О границах территорий памятников природы регионального значения в Вятскополянском районе"
Номер опубликования: 4300202011130002
Дата опубликования:
13.11.2020
