Официальное опубликование правовых актов
ОФИЦИАЛЬНОЕ ОПУБЛИКОВАНИЕ
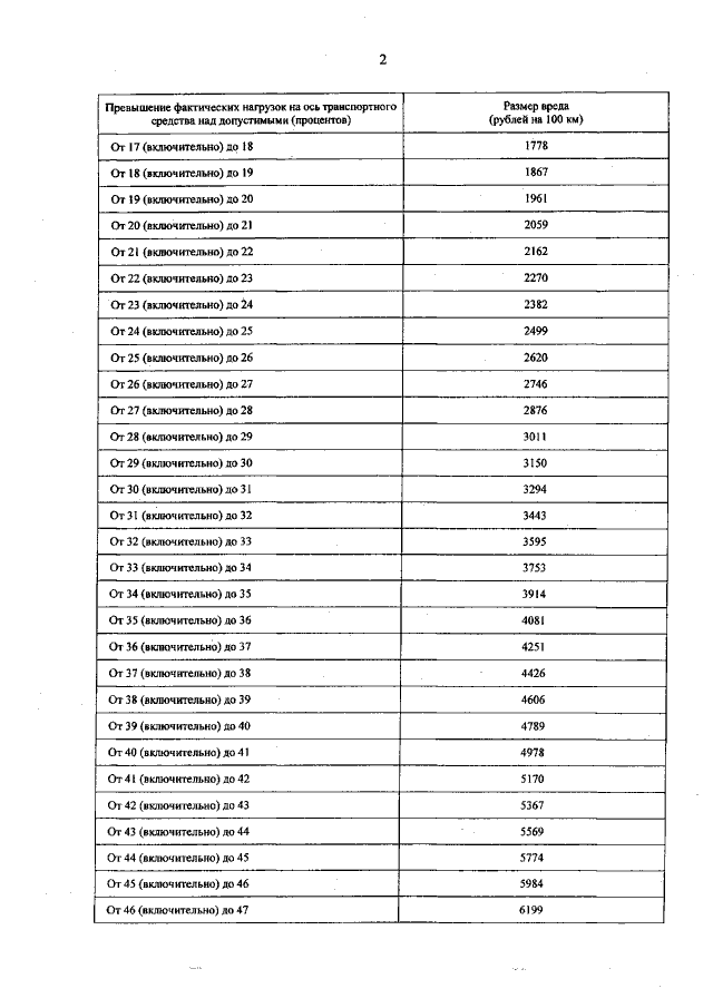
Постановление Правительства Кировской области от 13.04.2020 № 164-П
"Об определении размера вреда, причиняемого тяжеловесными транспортными средствами при движении по автомобильным дорогам Кировской области регионального или межмуниципального значения"
Номер опубликования: 4300202004170003
Дата опубликования: 17.04.2020
Страница №4 из 11:
Увеличить