Официальное опубликование правовых актов
ОФИЦИАЛЬНОЕ ОПУБЛИКОВАНИЕ
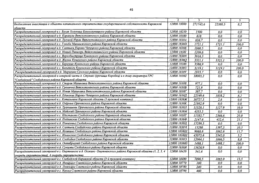
Постановление Правительства Кировской области от 04.06.2019 № 286-П
"Об утверждении отчета об исполнении областного бюджета за I квартал 2019 года"
Номер опубликования: 4300201906070013
Дата опубликования: 07.06.2019
Страница №46 из 85:
Увеличить