Официальное опубликование правовых актов
ОФИЦИАЛЬНОЕ ОПУБЛИКОВАНИЕ
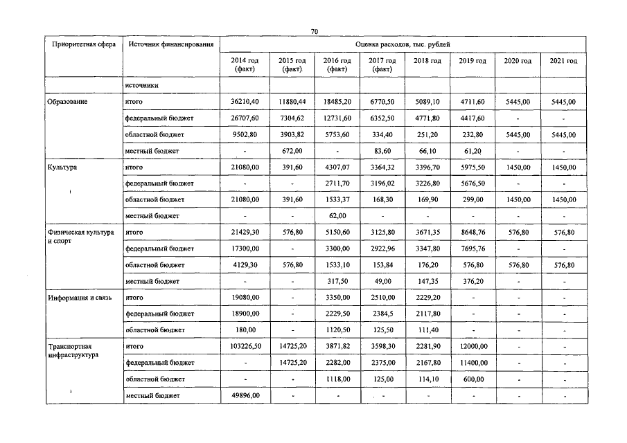
Постановление Правительства Кировской области от 08.02.2019 № 55-П
"О внесении изменений в постановление Правительства Кировской области от 28.12.2012 № 189/845"
Номер опубликования: 4300201902130002
Дата опубликования: 13.02.2019
Страница №71 из 74:
Увеличить