Официальное опубликование правовых актов
ОФИЦИАЛЬНОЕ ОПУБЛИКОВАНИЕ
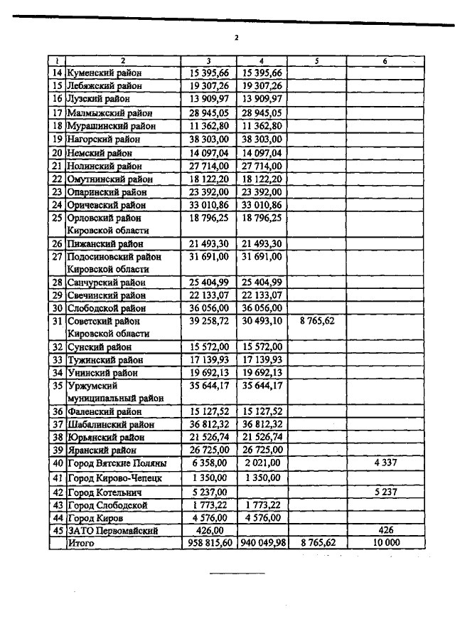
Закон Кировской области от 03.04.2018 № 149-ЗО
"О внесении изменений в Закон Кировской области "Об областном бюджете на 2018 год и на плановый период 2019 и 2020 годов"
Номер опубликования: 4300201804040001
Дата опубликования: 04.04.2018
Страница №212 из 375:
Увеличить